据了解全国乙卷的省份有:安徽、河南、山西、江西、甘肃、陕西、黑龙江、吉林、宁夏、新疆、青海、内蒙古等省份,今天小编为同学们整理了2022全国乙卷试卷真题及答案,供同学们参考!
安徽省为传统高考模式,全国乙卷数学试卷主要分为理科数学和文科数学,以下是具体试卷真题及答案:
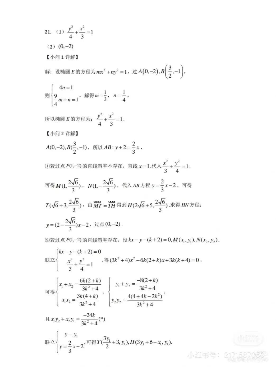
2022安徽高考数学试卷真题及答案解析(理科)







2022安徽高考数学试卷真题及答案解析(文科)








以上数据仅供参考,具体视实际情况而定。
据了解全国乙卷的省份有:安徽、河南、山西、江西、甘肃、陕西、黑龙江、吉林、宁夏、新疆、青海、内蒙古等省份,今天小编为同学们整理了2022全国乙卷试卷真题及答案,供同学们参考!
安徽省为传统高考模式,全国乙卷数学试卷主要分为理科数学和文科数学,以下是具体试卷真题及答案:
2022安徽高考数学试卷真题及答案解析(理科)







2022安徽高考数学试卷真题及答案解析(文科)








以上数据仅供参考,具体视实际情况而定。
新高考3+1+2中,给考生们提供了多种学科组合,大家可以根据自己的学习能力、兴趣爱好以及未来规划等因素进行合理
山东省为新高考3+3模式的省份,于2017年启动改革,2020年首次实行新高考,那么2024年的高考即将来临,相信很多山东
职教高考是中国针对职业教育学生设立的一种特殊的高考形式,其对于很多中等教育的学生来说也是升学途径中备受
2024-03-29
2024-03-29
2024-03-29
2024-03-29
2024-03-29